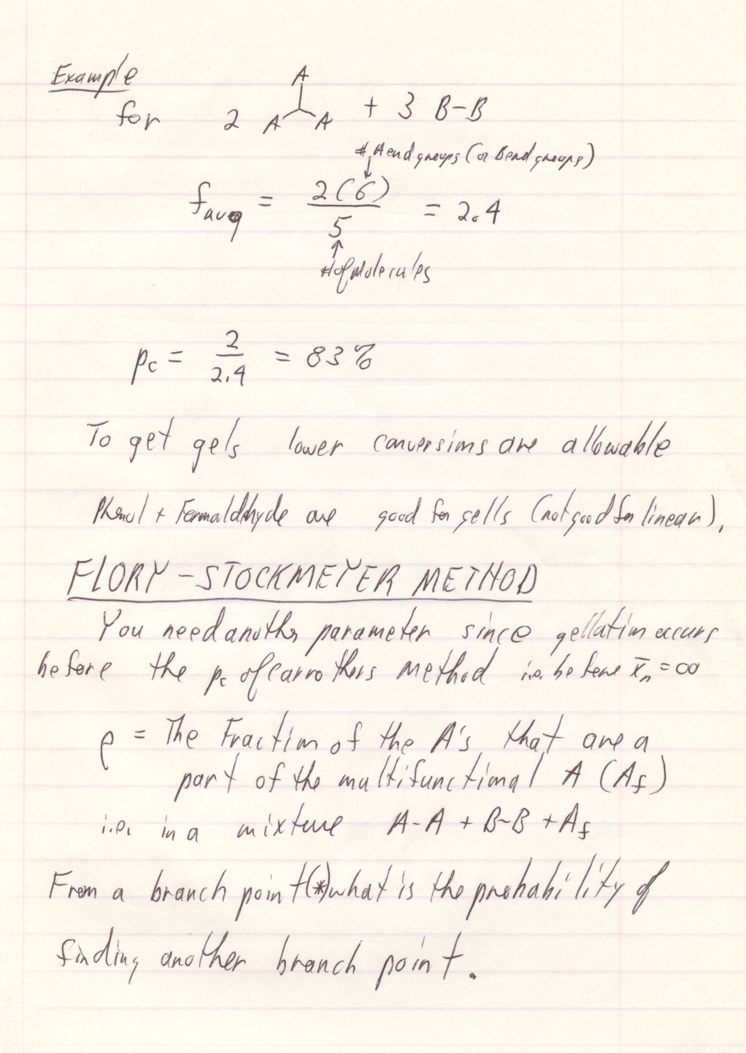
Gelation Notes from David Tirrell (and T. McCarthy) U Mass (A long time ago)