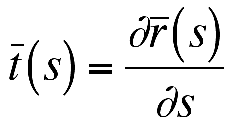
Consider a Brownian path with an index or continuous postion variable "s". For the simulated walks "s" is the time. For a polymer chain "s" is the chain index. Next consider an arbitrary origin of a coordinate system (0,0,0) and vectors to positions of the walk r(s). The unit tangent vector to the walk, t(s), is defined by,
(1)

Figure 1. Brownian Path.
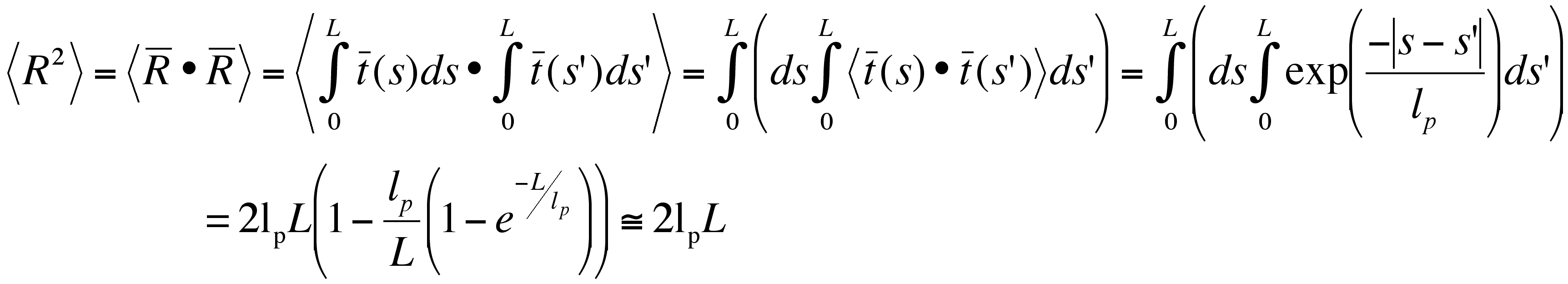
The end-to-end distance for the Brownian path is given by,
(2)
The auto-correlation function for the tangent vector can be written,
(3)
if a linear decay in correlation can be assumed. That is,
(4)
The persistence length is then similar to the linear absorption coefficient for radiation.
(2) and (3) can be used to calculate the mean square end-to-end distance R2,

We also can consider that for a freely jointed chain composed of nK Kuhn steps of length lK,
![]()
Showing that the freely jointed Kuhn length is just twice the persistence length.