PDF File: (Click to Down Load): Chapter4.pdf
Chapter 4 Polymer Physics
Molecular Motion in Dilute Solution
Chapters 4 and 5 of Doi deal with Dynamics of dilute and semi-dilute to concentrated polymer systems. Doi terms the latter two "Entangled" to emphasize the importance of topological states on polymer dynamics at high concentrations. Dynamics of chains are involved in any experiment where time is a factor. These include dynamic light scattering, elastic neutron scattering, rheological measurements, and dynamic mechanical measurements. The properties of interest are of a visco-elastic nature, with always involves some kind of time constant associated with a relaxation.
The simplest approach to the dynamics of polymers is the Rouse, Bead and Spring model which was already introduced in the discussion of rubber elasticity. Doi approaches this by first giving an overview of Brownian motion which serves as a basis to address the Rouse Model.
Brownian Motion:
A small spherical particle suspended in a solvent will display random thermally driven motion such that the average velocity for a number of particles (or for a single particle over time) as a function of time is 0, <V(t)> = 0, since the velocity is random. The velocity in the x-direction can be considered for simplicity. At two times, t1 and t2, the product of two velocities of the same particle will have the value V(t1)V(t2) and the average of this function is not necessarily zero, <V(t1)V(t2)> again, the average being over a single particle in time where only the difference
(t1 - t2) is of importance, or for a number of particles. We can write,
<V(t1)V(t2)>= Cv(t1 - t2)
where Cv(t) is the velocity correlation function. The decay of Cv(t) is described by a velocity correlation time,
tV.For time-invariant, random processes such as Brownian motion (i.e. for processes where there is no physical meaning to t = 0 because all times are basically equivalent) the velocity correlation function has a simpler expression,
<V(t1)V(t2)>= <V(t)V(0)> = Cv(t)
At short time differences Cv(t) will have the value of the mean square velocity, <V2(t)>. For long time differences this function will approach 0 (<V(t)> 2) as the time correlations between velocities go to 0.
The mean square velocity, <V2(t)>, is due to the thermal motion of the particles and is smaller for larger mass particles,
<V2(t)> = kT/m
where m is the mass and T is the temperature.
The spherical particle experiences a viscous force which dampens the Brownian fluctuations which lead to its velocity. This viscous force is the product of a friction coefficient, z, and the velocity. Stokes law defines the friction coefficient for a spherical particle as
z
= 6phsafor a sphere of radius "a" and a solvent of viscosity hs. This force balances with the mass*acceleration of the particle,
m (dV/dt) = -6phsa V
This equation describes an exponential dampening of the velocity,
V = V0exp(-6phsa (t1 - t2)/m) = V0exp(-(t1 - t2)/ tV)
so tV = m/(6phsa)
For a sphere of density r, m = (4p/3)a3, and tV = (2p/9)r a2/hs.
The relaxation time, tV, is very small for colloidal scale objects such as polymer coils, O(10-10s) for normal solvent viscosity's and polymer sizes. This is many orders of magnitude smaller than observable time scales in the experiments mentioned above, dynamic light scattering, rheology, and dynamic mechanical experiments. This means that, for all accessible time scales, for a polymer in dilute solution, it is a safe assumption to make the approximation tV Å 0.
We can consider the value of Cv(t) for accessible time scales for a colloidal scale particle undergoing Brownian motion in solution under the assumption that tV Å 0. The displacement of the particle, x(t), is given by the integral of the velocity over time,
![]()
The mean-square displacement, <x(t)2>, for random diffusion is 2Dt (from the Central Limit Theorem and a Gaussian distribution in velocities as shown by Doi, pp. 67),
![]()
Which leads to the association,
<V(t1)V(t2)>= <V(t)V(0)> = 2Dd(t)
where D is the diffusion coefficient, and d(t) is the delta function.
Brownian Motion in a Potential Field:
In many dynamic measurements a particle is subjected to a potential field of some kind, i.e. in rheology and in photon correlation spectroscopy. For this reason it becomes necessary to consider the effect of a potential field, U(x), on the Brownian motion of a particle. For most purposes it is convenient to consider U(x) as a "smoothly" varying function of position. The force experienced by the particle due to this smoothly varying field is -dU/dx which is converted to an net average velocity
<V> = -(1/z)dU/dx = <dx/dt>,
where z is the friction constant for the particle discussed above, after a time tV (Å 0) has passed.
The mean velocity of a particle subjected to the potential field U(x) is subject to random variation due to Brownian motion which can be assumed to linearly add to the mean velocity caused by the field in the absence of inertia and non-linear effects,
dx/dt = -(1/z)dU/dx + g(t)
where g(t) is a Gaussian function identical to V(t) given above, <g(t)> = 0 and <g(t)g(t')> = 2Dd(t-t'). The linear sum of the velocity due to a potential field and that due to Brownian motion is referred to as the Langevin Equation.
Fluctuation-Dissipation Theorem:
The response of a system to an external force (constitutive parameter) can be used to describe the dampening of thermal fluctuations. (i.e. thermal fluctuations are dissipated by the same constitutive parameters which govern the response of the system to external forces.) Doi uses this approach to describe the relationship between the diffusion coefficient and the friction coefficient, z. We will take this as a general assumption of the fluctuation-dissipation theorem.
D = kT/z
This equation for the diffusion coefficient is known as the Einstein relationship.
The position of a particle undergoing Brownian motion, x(t+
Dt), is given by discretizing the Langevin equation given above,x(t+
Dt) = x(t) - (1/z)dU/dx Dt + DG(t)where
DG(t) is a probability distribution function for the randomly varying probability function g(t) which describes Brownian motion in the Langevin equation,![]()
D
G(t) is a probability distribution function for the Gaussian term of the Langevin linear sum. The position, x(t) which is a result of the potential U and this Brownian, Gaussian term also has a probability distribution function, j(x,t), which satisfies the equation,![]()
The Einstein relationship can be used in this expression for the probability distribution function of position of a particle under a potential field to yield,
![]()
Systems with Many Degrees of Freedom:
An isolated polymer molecule represents a system with many degrees of freedom. Consider the position of each mer unit being described by a vector xi. Consider a system with many degrees of freedom, {xi} = (x1, x2, x3, ...xn) subjected to a potential field, and ignoring Brownian fluctuations,
dxi/dt = -
S mij dU/dxiwhere U is the potential energy, and
mij are the components of the mobility matrix (similar to 1/z in the equation for velocity of the sphere above) the summation is over "j". The mobility matrix accounts for interactions between components of a system with many degrees of freedom.Brownian motion can be accounted for in this approach through an expression for the probability distribution function,
![]()
where
Dij =
mijkTThe Langevin Equation becomes,
dxi/dt = - S mijdU/dxj + gi(t) + S dDij/dxj
where the summations are over "j".
The mean of gi(t) is
<gi(t)gj(t')> = 2Dijd(t-t')
<gi(t)> = 0
Brownian Motion of a Harmonic Oscillator:
A harmonic oscillator has a potential described by a spring constant, "k",
U(x) = kx2/2
Using this potential in the Langevin equation we have,
dx/dt = -kx/z + g(t)
solving for x as a function of time,
![]()
The time correlation function of x(t) is given by,
![]()
Using <g(t)g(t')> = 2Dd(t-t') and D = kT/z,
<x(t)x(0)> = kTexp(-t/t)/kspr
where
t
= z/ksprFor t=>0, <x2> = kT/kspr, as predicted by a Boltzman distribution,
Yequil a exp(-ksprx2/2kT)The mean square displacement after a time "t" is given by,

For t=>0 this yields (2kT/
z)t = 2Dt which is the expected result from the discussion of Brownian motion above.Rouse Theory:
As mentioned above, a polymer can be considered as a system with many degrees of freedom. In Chapter 1 we mentioned that the potential energy for a bead and spring polymer model (the Rouse model) is given by,
![]()
Which is a multibodied analogue of the Hookean spring model given in the previous section. The beads in the Rouse model experience a drag force proportional to their velocity just as in the spring model above, with a friction coefficient
z for each bead. The Langevin equation for the Rouse model is,![]()
The index for the chain goes from 0 to N with a special governing equations (dRi/dt) for beads 0 and N. For beads 1 to N-1 the governing equation is (combining the expression for U and the Langevin equation),
![]()
For n=0 and n=N the same expression can apply if we use R-1 = R0 and RN+1=RN.
If the chain is thought to be composed of infinitesimally small springs, then n can become a continuous function. dR/dn corresponds to (Rn-1-Rn+1)/2 and d2R/dn2 becomes (Rn+1+Rn-1-2Rn). Then the governing equation becomes
![]()
and at n=0 and n=N dR/dn = 0 using the limits above. The second derivative of R with n (chain coordinate) defines certain modes of motion for the chain, just as a guitar string has certain modes of vibration.
Decomposition of the modes can be accomplished if the coordinate "n" is replaced with a set of normalized coordinates based on the first order mode which is defined by the limit, dR/dn = 0 at N. This means one mode involves the length N. The normalized coordinates involve an integral transform of R(n,t) into a Fourier equivalent, Xp, where "p" is the Fourier equivalent of "n",
![]()
where the modes "p" have integer values of 0,1,2,3,...
Then the governing equation becomes,
![]()
where
zp = 2Nz, z0 = Nz. For the p'th mode the spring constant is given by,![]()
by comparison with equations for a linear harmonic oscillator and through use of the Hookean spring equations from the previous section.
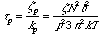
The relaxation time for the p'th mode of the Rouse chain is given by,
![]()
The relaxation time for the Rouse chain is predicted to follow N2. Experimentally, the relaxation time (as measured by NMR or dynamic light scattering for instance) is found to follow N3/df where df is the mass-fractal dimension, 3/5 for good solvents. This is one of the failings of the Rouse model and is due to hydrodynamic interactions which are not accounted for in the Rouse analysis.
Rouse Motion of the Center of Mass:
The zero'th mode, X0, describes the motion of the center of mass, RG(t)=(1/N)
ºdn R(n,t), since the cos term in the integral for X0 goes to 1 for this mode. The mean square displacement for the zero'th mode is given by,< (X0(t)- X0(0))
a (X0(t)- X0(0))b > = dab 2kT t/z0 = <(RG(t)- RG(0))2> = 2kT t/(Nz)where
a and b are different conformations of the chain or different identical chains.From the first section the center of mean square displacement of the center of mass is related to the diffusion coefficient for the center of mass, <(RG(t)- RG(0))2> = 2Dt, so,
DG = kT/N
zThe Rouse Model predicts the center of mass diffusion coefficient goes as the inverse of the molecular weight. Experimentally, the center of mass diffusion coefficient is observed to go as
M-1/df, where df is the mass-fractal dimension of 3/5 in a good solvent.. This is a second of the failings of the Rouse model and, again, is due to hydrodynamic interactions which are not accounted for in the Rouse analysis.
Rouse Rotational Motion: