PDF File: (Click to Down Load):
Chapter3.pdf
=> Back to TOC
=> To Syllabus
Parts:
=> Temperature Dependence of Viscosity
=> Shear Rate Dependence of Viscosity
=> Constutative Equations for Polymer Flow
=> Simplest Assumption
----Link to Lodge Liquid.html (Lodge Liquid.pdf)
=> General for History of a Fluid Element
=> CEF Equation
=> LVE Equation
=> GNF Equations
=> Application of GNF Equations
=> Viscometric Flows
=> Elongational Flow
Chapter 3 Polymer Melt Rheology
(Tadmor Chapter 6)
Tadmor's Chapter 6, is an overview of Non-Newtonian Rheology, which is basically taken from Bird, Armstrong, Hassager, "Dynamics of Polymeric Liquids" Volume 1 (of 2) Fluid Mechanics. (Volume 2 of this set deals with theory of melt viscosity and is a common reference but of little use for processing.)
The most important non-Newtonian effects in polymer melt flow are the A) temperature and B) shear rate dependence of viscosity.
A) First issue in chapter 6 is to compare the temperature dependence of Newtonian vs. polymeric fluids (See homework problem). A comparison of the Arrhenius behavior in eqn. 6.1.1 (pp. 147) and the WLF behavior of

B) The second issue in chapter 6 of Tadmor involves changes
in the viscosity with shear rate (usually shear thinning behavior, see Chapter 1) and related issues of normal forces (Wiessenberg Effect and die swell). These issues are also related to the appearance of solid-like features (elastic component) to polymeric fluids including self-siphoning behavior, bubble shape, flow stabilization, fibrillation (ability to form fibers) and fluid memory effects. Several examples mostly from Bird Armstrong Hassager are given below. Most of these examples can be duplicated with common "structured" fluids such as molasses, shampoo or motor oil.
From Bird, Armstrong, Hassager, "Dynamics of Polymeric Liquids, Vol. 1"

From Bird, Armstrong, Hassager, "Dynamics of Polymeric Liquids, Vol. 1"

From Bird, Armstrong, Hassager, "Dynamics of Polymeric Liquids, Vol. 1"

From Bird, Armstrong, Hassager, "Dynamics of Polymeric Liquids, Vol. 1"

From Bird, Armstrong, Hassager, "Dynamics of Polymeric Liquids, Vol. 1"

From Bird, Armstrong, Hassager, "Dynamics of Polymeric Liquids, Vol. 1"

From Bird, Armstrong, Hassager, "Dynamics of Polymeric Liquids, Vol. 1"

From Bird, Armstrong, Hassager, "Dynamics of Polymeric Liquids, Vol. 1"

From Bird, Armstrong, Hassager, "Dynamics of Polymeric Liquids, Vol. 1"

From Bird, Armstrong, Hassager, "Dynamics of Polymeric Liquids, Vol. 1"

From Bird, Armstrong, Hassager, "Dynamics of Polymeric Liquids, Vol. 1"
In order to deal with these effects a number of equations have been developed which describe some of these features. The primary reason for the vast diversity of equations which have been generated is that rheologists have developed different frames of reference to account for fluid elements which can be deformed in a flow. For example, if you consider a polymer chain as being deformed in a flow you will need a reference frame which follows a fluid element and describes its deformation. The main complication in dealing with these new frames of reference is converting from the machine or lab frame of reference to the new frame, doing calculations in the new frame and then converting back to the machine frame. These conversions are fairly complicated and we will not deal in detail with how they are carried out. (Bird Armstrong Hassager is a good source for reference frame conversions as is Christensen's "Theory of Viscoelasticity" 1982).
We do need to consider the generalities of these approaches in order to understand the source of the various equations used to describe non-Newtonian flow. To describe the flows shown in class we will need:
From an engineer's perspective the golden rule is "If it ain't broke, don't fix it" which translates into always use the simplest equations that "work". If the Newtonian fluid equations are good enough, then use them. If you can live with a small modification of Newtonian fluids such as a power-law fluid, then do it.
Below is a list of terms useful in dealing with polymer flow and non-Newtonian rheology:
The simplest assumption for polymer flow is that the fluid is Newtonian and you the lab frame can be used. For a shear thinning fluid such as a polymer melt this requires ignoring the causes of a reduction in viscosity and treating a fluid at each shear rate as independent of the fluid at other shear rates. This approach can't account for normal forces, memory effects or elasticity. A typical viscosity versus rate of strain curve is shown below on a log/log plot. The generalized newtonian fluid assumption that the viscosity is fixed is clearly a poor assumption for a polymeric melt. In polymer processing it is the knee and power-law regimes that are of most importance.
If you ignore normal forces; memory effects; and elasticity, then simple equations for viscosity can be used by breaking down the log viscosity vs log shear rate plot into three regimes:
Consider polymer melt flow in an Extruder as an example of how and where this regime approach could be applied to a polymer processing operation:
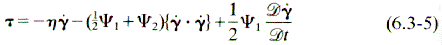
Equation 6.3-1 of Tadmor (p. 155) gives the Goddard expression for a simple fluid in a corotational frame as expanded in an integral series by Green and Rivlin among others:
The approach taken by CEF is to use expansions of the rate of strain in the corotational frame in derivatives of time and to truncate these derivatives in a fairly messy approach but one which justifies the use of power-law equations and equations for the first and second normal stress differences. This approach can also be used to justify LVE equations.
Equation 6.3-1 yields equation 6.3-5 for steady shear flows.
If only the first integral is retained in 6.3-1 the Goddard Miller (GM) equation can result which under small deformations, where the corotation frame becomes equivalent to the lab frame, the LVE equations result. One of these is the Maxwell constitutive equation:
Equation 6.3-9 describes a spring and a dashpot in series (elastic and viscous elements in series).
The first term of equation 6.3-5 can also give rise to a Generalized Newtonian Fluid (Section 6.5 pp. 167) of which there are several types we will consider. We consider only the magnitude of dg/dt for GNF equations. An incompressible fluid under shear flow with no dependence of h on the third invariant of dg/dt, III. Each GNF equation is applicable only in a certain range of dg/dt and this must be specified with the equation parameters.
h
0 is the zero shear rate viscosity and t1/2 is the value of t where the viscosity is half that of h0.Application of Empirical Constitutive Equations to Describe Polymer Melt Flow

Modified from Bird, Armstrong, Hassager, "Dynamics of Polymeric Liquids Vol. 1" (Back to above)
Next issue is how do you measure these things in a lab?
Also, what simple flows that can be produced in a lab can be used as standards for processing flows. i.e. we will always try to use VISCOMETRIC FLOWS as models for processing situations when possible.
3 kinds of viscometer we will consider and their processing equivalents:
Capillary Viscometer => Pipe flow or die flow
Couette Viscometer => Extruder or parallel plate flow
Cone and Plate Viscometer => No commonly used Processing Equivalent Flow
Capillary Viscometer (Melt Flow Index, MFI)
Model Flow for Tube Flow and Flow in Injection Molding Runners, Extruder Die and the like
Figure 6.1 example 6.3 section 6.7 pp. 176
-Assume incompressible fluid, steady isothermal flow
-Use a cylindrical coordinate system, r, z, q
-Assume v
q = 0, no q dependence of velocity-Assume dvz/dz =0 for Steady flow
-Assume vr = 0, no radial flow
-The only velocity is vz(r)
-Assume
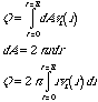
DP/Dr = 0, DP/Dq = 0, and DP/Dz has a value which drives the flow.Consider the shear stress which is the force down the tube on a cylindrical fluid element of radius "r".
![]()
The force at z = 0 is the inlet pressure times the area of a circular fluid surface perpendicular to flow. The same can be calculated at a non-zero value of z down stream. The area perpendicular to r is the circumference of a cylindrical element at r times the length of the tube.

The only point where the rate of strain can be calculated in the capillary is at the wall of the tube. The shear stress at the wall, then, needs to be calculated explicitly as this will be used to determine the viscosity. At the wall r=R and
![]()
usually PL = 0 (gauge pressure)
The rate of strain at the wall under an assumption of a Newtonian model with no time effects is calculated from the flux out of the tube, Q. Q is obtained by measuring the mass which flows out of the capillary for a fixed length of time. Q is related to the velocity distribution by,

Use integration by parts to get
![]()
Assume no slip at wall, vz(R) = 0, so first term is 0, and dvz = (dvz(r)/dr) dr which is just the rate of strain times dr so:
![]()
r2dr is converted to
t using formulas above, i.e. r = 2 L tzr(r)/DPand dr = 2 L /
DP dtzr , so,![]()
This equation is differentiated with respect to tw to yield,
![]()
which is known as the Rabinowitsch equation (or Wissenberg-Rabinowitsch Equation).
The use of the Rabinowitsch equation requires a constitutive model for the fluid because of the last term in the equation above. For a Newtonian constitutive equation Q=(pR4DP)/(8hL) which is Pouiselle's Law. For a power-law constitutive equation where t = m (dg/dt)n, and s = 1/n, Q = (pR3)/(s + 3){RDP/(2mL)}s.
For capillary flow (flow in a tube)
![]()

Limitations to capillary flow measurements included:
-Can't vary gamma dot very easily (at least not in MFI instrument).
-Can't measure normal stress differences.
-Can't perform dynamic experiments for LVE parameters.
-Need a model for viscosity versus rate of strain measurements.
The last term for the strain rate at the wall can not be determined with out a constitutive equation for the fluid in the capillary. For a power-law fluid,
,
the governing equation for a capillary viscometer (MFI) is:
![]()
For a Newtonian Fluid m = h, n = 1 and the above equation reduces to the Hagen-Poiseuille Equation for capillary flow.
Couette Viscometer (Brookfield Viscometer)
-can vary gamma dot easily
-can possibly measure first normal stress difference
-can't get second normal stress difference
-can do dynamically for LVE parameters
A Couette viscometer consists of a gap between two cylinders which move at a relative angular velocity, W. The radius of the inner cylinder is Ri and the outer cylinder is Ro. The length of the cylinders contacting the fluid is L.
Locally, the Couette viscometer can be approximated as two parallel plates. The velocity of the fluid near the moving cylinder (plate) is the rotational velocity of the adjoining plate under the no-slip assumption. The velocity of the fluid near the static plate is 0 under the same assumption. The velocity profile across the gap of the viscometer is linear for a Newtonian fluid but can deviate significantly form linear for shear thinning fluids (power-law). The latter is due to the curvature of the Couette viscometer. For true infinite parallel plates the velocity profile is always linear and a single strain rate exists across the gap.
The q-velocity at the outer, fixed cylinder is 0 and at the inner, rotating cylinder is vq(r=Ri) = RiW. For a power-law fluid,
, the angular, q, velocity profile for the Couette viscometer, as a function of "r", under the condition that the inner cylinder rotates at an angular velocity W and the outer cylinder is fixed, is:

where Ro is the outer cylinder radius and Ri is the inner cylinder radius.
The strain rate is the derivative of vq(r) with respect to r. At r=Ro the strain rate has a simple form:

For a Newtonian fluid the strain rate is given by:
![]()
The shear stress at r=Ro is given by:
![]()
Where T is the torque and L is the submerged length of the cylinders. The power-law fluid parameters can be measured by variation in the angular velocity of the cylinder.
The main drawback to the Couette viscometer is that it does not display a constant velocity gradient across the gap.
These equations for the Couette viscometer can be adapted to model shear flow in an extruder.
Cone and Plate Viscometer
-can vary gamma dot easily
-can bet both normal stress differences
-can do dynamically for LVE parameters
The cone and plate viscometer is composed of a shallow angle cone (1 to 3 degrees angle, b) and a flat plate. The cone is brought close to the plate with the gap filled by a fluid of interest. The cone is attached to a shaft which is rotated at an angular velocity W. The shear rate is constant across the gap and does not depend on a model for the fluid,
![]()
The shear stress, t, is calculated from the torque, T, and the fluid contact radius (radius of the cone) Rc,
![]()
The cone and plate viscometer is an ideal tool for characterization of non-Newtonian fluids since the rate of strain is constant across the gap and a model for the fluid is not needed to determine the viscosity, h = t/(dg/dt). The cone and plate viscometer, however, is not useful as a model for processing flows except for unusual processing equipment. The first normal stress difference can be measured from the upward pressure on the shaft or the downward pressure on the plate, FN. The second normal stress difference can be measured through the used of pressure taps on the bottom plate. Most cone and plate rheometers are equipped for measurement of the first normal stress difference but not for the second normal stress difference measurement. The first normal stress difference is given by,
![]()
Elongational Flow (Fiber Spinning/Film Blowing)
All of the discussion thus far has involved simple shear flow. Simple shear flow is useful to model flow in an extruder and mixing operations. However, many processing operations involve a different kind of flow where the fluid is stretched or elongated, i.e. elongational flow of a polymer melt. Operations such as blow molding of a parison to form a milk jug, film blowing and fiber drawing are some of the many processing operations that involve some form of elongational flow. Generally, elongational flows are nonuniform, non-isothermal and often involve a phase change to a semi-crystalline or solid state. Rheologists study elongational flow under ideal conditions which only approximate some of the conditions which occur in a processing operation. The reason for this is the complexity and difficulty of studying and modeling elongational flow.
Elongational flow is similar to a tensile stress experiment performed on a solid sample. For an idealized, shear free flow, the rate of strain tensor has only diagonal components,

Essentially all polymer melts are incompressible so a1 + a2 + a3 =0. There are three simple types of elongational flow which can be modeled in a laboratory flow experiment by the flow condition at the intersection of 6 orthogonal tubes, or in a mechanical experiment by arrangements of tensile grips on a fluid element.
1) Simple Extentional or Elongational Flow: a1 = de/dt; a2 = -1/2 (de/dt); a3 = -1/2 (de/dt)

2) Planar Extensional or Elongational Flow: a1 = de/dt; a2 = -de/dt; a3 = 0

3) Biaxial Extensional or Elongational Flow: a1 = de/dt; a2 = de/dt; a3 = -2 (de/dt)

Consider that you wish to create a simple elongational flow in a fluid element. In the x direction, the fluid element must be subjected to a strain rate de/dt so that vx = dx/dt = x de/dt. In terms of the length L in the x direction of a fluid element we have,
dL/dt = (de/dt) L(t)
At time 0, L = L0 and at time "t", L(t) = L0 exp(t de/dt). In order to obtain a constant rate of elongational strain in a tensile experiment the elongated length must exponentially increase in time! In any real processing operation this can not be achieved so processing operations involve variable strain rates.
Trouton Viscosity:
For steady elongational flow a constitutive parameter similar to viscosity relates the elongational stress difference (normal stress difference) to the elongational strain rate,
![]()
For a Newtonian fluid t = h (dg/dt) and under simple elongational flow,

so, t11 - t33 = 3h (de/dt). For a Newtonian fluid or in the Newtonian plateau region, or a polymer melt, the Trouton viscosity is three times the Newtonian viscosity. The Trouton viscosity is a measure of the cohesivity of the melt or the melt strength. The Trouton viscosity is generally not strain rate dependent.
The ratio of the Trouton viscosity and the shear viscosity is 3 in the Newtonian regime for a power-law fluid and increases as the shear rate is increased since the Trouton viscosity is constant while the shear viscosity drops with increasing rate of strain. This ratio is called the melt strength and is an indication of the "spinnability" or "blowability" of a polymer melt.