G. R. Strobl, Chapter 5 "The Physics of Polymers, 2'nd Ed." Springer, NY, (1997).
J. Ferry, "Viscoelastic Behavior of Polymers"
Overview:
We can consider ideal behaviors for materials in terms of simple, linear constitutive equations. A constitutive equation is and equation that relates the response of a material to the strength of a perturbation, e.g. if you kick a dog and it barks a simple, linear constitutive equation states that the harder you kick (force) the louder the dog barks and that the volume of the bark (VBark) is linear with the force of the kick, FKick = B VBark, where B is a linear constitutive parameter. Obviously such a relationship fails in reality since at some point the dog will begin to bite! Biting is a different mechanism of response.
Generally, constitutive equations reflect a description but not an understanding of a complex phenomena. The "dog-bark" constitutive equation reflects only the observed behavior and does not imply a mechanism, which is quite complex in this case, between the perturbation and response. For some constitutive equations there is a mechanistic understanding of the relationship between the perturbation and the response. We will first look at the physics of constitutive equations in the absence of a mechanistic understanding and then discuss some features of a molecular basis to dynamics in polymers.
Consider two mechanisms of response for dense states, Hookean elastic response,
s11 = E e11, and Newtonian viscous response, s12 = h d(e12 )/dt, that reflect ideal solid and liquid behavior. (For a description of tensor notation used here see: Processing Chapter 1 and Processing Chapter 2 ) These two ideal equations reflect differences in two ideal mechanisms for response to a mechanical perturbation. For a Hookean elastic the dense material does not absorb energy in deformation, a simple molecular model is that atoms are affinely displaced from their equilibrium positions and return to these positions exactly on release of the stress. For a Newtonian fluid the dense material completely absorbs the energy of deformation, a simple molecular model is that atoms are completely displaced after traversing an energy barrier associated with two equilibrium positions in the liquid.Polymers and plastics are generally not well described by either of these ideal equations when they are subjected to a mechanical perturbation. They do not display perfect Hookean behavior in the solid state partially because there is a high degree of disorder in their structure and the coupling associated with their chain structure so the energy minima associate with atomic and molecular displacement are complex and strongly coupled, compared to a simple metallic crystal for instance, hence it is always possible to find a locally deeper energy minimum and the sum of these local minima are close to equivalent after displacement. Energy is always lost in deformation of a solid polymer. Polymers do not display perfect Newtonian behavior for some of the same reasons, i.e. atomic motions in polymeric liquids are coupled due to the chain like nature and there is a wide dispersion of energy states in these disordered liquids. (See for example Processing Chapter 3 )
Polymers display behavior intermediate between Hookean and Newtonian behavior both in the liquid (melt) and solid states. The behavior of polymers has been called viscoelastic or elastoviscous depending on the dominance of solid like or liquid like behavior. Coupling of these two behaviors is, however, far from linear and the behavior can not be completely modeled by superposition of solid and liquid behaviors. The behavior of polymers has sometimes been refered to as anelasticity reflecting the coupling of viscous and elastic behavior in a complex way. The chief feature of anelasciticty is a time dependence to properties, that is, the behavior can be characterized as strongly solid-like at short times and strongly liquid-like at long times.
Time dependent mechanical response is usually covered in introductory physics courses in terms of the harmonic oscillator and damped harmonic oscillator. The perturbation considered in study of such systems is usually considered to be a mechanical pulse rather than a continuous stress. Striking a bell (perturbation) and observation of the tone or sound frequency (time response) and amplitude (magnitude of response) is a typical measurement. Understanding time dependent phenomena in polymers involves drawing a fundamental connection between time dependent mechanical response such as in a harmonic oscillator and simple constitutive equations such as Newtonian fluid or Hookean elastic equations.
The response of polymers to mechanical deformation is time dependent, temperature dependent and dependent on the total strain applied to the sample. At high elongations complex anelastic behavior is observed that is beyond the scope of a general understanding of viscoelastic response in polymers. For this reason, we will only consider small deformations in this class. The understanding of the dynamic (time dependent) response of polymers at low strain has impact on a eclectic group of fields ranging from mechanical creep measurements to inelastic neutron scattering measurements. In this course an attempt will be made to link these diverse observations of anelastic phenomena with the basis being the nature and molecular models of the polymer material itself and the physics of anelastic phenomena.
Creep and Stress Relaxation:
Two related, simple mechanical experiments can be performed on a mechanically anelastic material to demonstrate reversible and irreversible response to stress. A creep measurement involves the application of a fixed load followed by observation of strain as a function of time. For a Hookean material the response is instantaneous strain to e11 = s11/E. For a Newtonian material the response is an instantaneous constant rate of strain, de12/dt = s12/h. Neither of these materials display the time dependence characteristic of polymeric materials. An anelastic material will display a complex response that can be thought to include both of these instantaneous responses as well as a time dependent response usually characterized by and exponential function of time, e11 = k (1 - exp(-t/t)), where t reduces time in a manner characteristic of the material and the temperature of observation. t is called the relaxation time of the material. The figure below, from Strobl (p. 193 Figu. 5.1), generically shows these three contributions to anelastic creep.

The relaxation time, t, for a simple harmonic oscillator is the inverse of the natural frequency of oscillation, t = 1/w. This is measured by a pulse (striking a bell) perturbation and a timed observation of the response (listening to the tone or frequency of vibration). For the creep measurement, shown above, the continuous application of stress (force) could be considered as a series of pulses of infinitely small duration, superimposed to create a continuous stress as will be discussed below.
If a measurement such as that shown in the figure above could be made form an infinitesimally small time, t0, to an infinitesimally long time, t°, then the observed creep compliance, D(t) = e11(t)/s11 would completely describe the anelastic mechanical behavior of the material. The creep experiment is natural to more solid-like materials.
A second simple experiment is to fix the strain on a sample rather than the stress. Over time the stress will relax due to Newtonian flow as well as due to the exponential decay of the time dependent component discussed above. Again, if stress relaxation measurements could be made from an infinitesimally small time, t0, to an infinitesimally long time, t°, then the observed time dependent tensile modulus, E(t) = s11(t)/e11 would completely describe the anelastic mechanical behavior of the material. Stress relaxation experiments are more natural to liquid-like materials.
The creep and stress relaxation experiments give direct insight into anelastic mechanical behavior but do not allow for controlled measurements over a wide range of time because it is difficult to measure at very short times or at very long times. A dynamic mechanical measurement allows for the measurement of extremely short time relaxations that are characteristic of polymeric materials by a repeated cycling of a low strain deformation at relatively high frequency (10 Hz). In the dynamic tensile stress measurement a sinusoidal stress is applied to a strip of elastomer, for instance, and the strain is measured as a function of time. The ratio of the time cycled stress to the time cycling strain is called the dynamic tensile modulus or complex modulus, E*(w) = s11(t)/e11(t), where the applied stress follows a sinusoidal function, s11(t) = s011 exp(iwt) and the strain response follows a time lagged sinusoidal function, e11(t) = e011 exp(-id) exp(iwt), where d is a phase factor for this lag. (Note: e-iA = cos A - i sin A and e+iA = cos A + i sin A.)
The application of a sinusoidal (oscillating) stress in a dynamic mechanical measurment mimics the response of a harmonic oscillator. If a harmonic oscillator were examined as a function of frequency the response would be entirely out of phase (d = 90°) for all frequencies other than 1/t. At w = 1/t the response (strain) would be entirely in phase.
For a Hookean elastic stress and strain are proportional. The dynamic mechanical response (strain) is always in-phase with the perturbation (stress) and the measurement would result in a constant value and phase for complex modulus.
For a Newtonian fluid the stress is proportional to the derivative of the strain. The derivative of a sine function is a cosine function so the stress and strain are always out of phase by 90° for a Newtonian fluid. The complex modulus is of constant value and phase for a Newtonian fluid.
Molecular Motion in Dilute Solution
Follows: M. Doi, Introduction to Polymer Physics, Oxford Science Publications, 1997
The dynamics of polymers originated in the study of dilute solutions although the main applications are in the study of polymer melts and polymers in the solid state. Dilute solutions offer a more basic situation that is amenable to modeling using relatively simple concepts. For this reason the approach to understanding particle dynamics in dilute solution is introduced at this stage.
Chapters 4 and 5 of Doi deal with Dynamics of dilute and semi-dilute to concentrated polymer systems. Doi terms the latter two "Entangled" to emphasize the importance of topological states on polymer dynamics at high concentrations. Dynamics of chains are involved in any experiment where time is a factor. These include dynamic light scattering, elastic neutron scattering, rheological measurements, and dynamic mechanical measurements. The properties of interest are of a visco-elastic nature, with always involves some kind of time constant associated with a relaxation.
The simplest approach to the dynamics of polymers is the Rouse, Bead and Spring model which you may have already been introduced to in discussions of rubber elasticity. Doi approaches this by first giving an overview of Brownian motion which serves as a basis to address the Rouse Model (bead and spring model).
Brownian Motion:
A small spherical particle suspended in a solvent will display random thermally driven motion such that the average velocity for a number of particles (or for a single particle over time) as a function of time is 0, <V(t)> = 0, since the velocity is random. The velocity in the x-direction can be considered for simplicity. At two times, t1 and t2, the product of two velocities of the same particle will have the value V(t1)V(t2) and the average of this function is not necessarily zero, <V(t1)V(t2)> again, the average being over a single particle in time where only the difference
(t1 - t2) is of importance, or for a number of particles. We can write,
<V(t1)V(t2)>= Cv(t1 - t2)
where Cv(t) is the velocity correlation function. The decay of Cv(t) is described by a velocity correlation time, tV.
For time-invariant, random processes such as Brownian motion (i.e. for processes where there is no physical meaning to t = 0 because all times are basically equivalent) the velocity correlation function has a simpler expression,
<V(t1)V(t2)>= <V(t)V(0)> = Cv(t)
At short time differences Cv(t) will have the value of the mean square velocity, <V2(t)>. For long time differences this function will approach 0 (<V(t)> 2) as the time correlations between velocities go to 0.
The mean square velocity, <V2(t)>, is due to the thermal motion of the particles and is smaller for larger mass particles,
<V2(t)> = kT/m
where m is the mass and T is the temperature.
The spherical particle experiences a viscous force which dampens the Brownian fluctuations which lead to its velocity. This viscous force is the product of a friction coefficient, z, and the velocity. Stokes law defines the friction coefficient for a spherical particle as
z
= 6phsafor a sphere of radius "a" and a solvent of viscosity hs. This force balances with the mass * acceleration of the particle,
m (dV/dt) = -6phsa V
This equation describes an exponential dampening of the velocity,
V = V0exp(-6phsa (t1 - t2)/m) = V0exp(-(t1 - t2)/ tV)
so tV = m/(6phsa)
For a sphere of density r, m = (4p/3)a3, and tV = (2p/9)r a2/hs.
The relaxation time, tV, is very small for colloidal scale objects such as polymer coils, O(10-10s) for normal solvent viscosity's and polymer sizes. This is many orders of magnitude smaller than observable time scales in the experiments mentioned above, dynamic light scattering, rheology, and dynamic mechanical experiments. This means that, for all accessible time scales, for a polymer in dilute solution, it is a safe assumption to make the approximation tV Å 0.
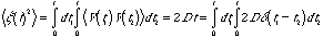
We can consider the value of Cv(t) for accessible time scales for a colloidal scale particle undergoing Brownian motion in solution under the assumption that tV Å 0. The displacement of the particle, x(t), is given by the integral of the velocity over time,
![]()
The mean-square displacement, <x(t)2>, for random diffusion is 2Dt (from the Central Limit Theorem and a Gaussian distribution in velocities as shown by Doi, pp. 67),
![]()
Which leads to the association,
<V(t1)V(t2)>= <V(t)V(0)> = 2Dd(t)
where D is the diffusion coefficient, and d(t) is the delta function.
Brownian Motion in a Potential Field:
In many dynamic measurements a particle is subjected to a potential field of some kind, i.e. in rheology and in photon correlation spectroscopy. For this reason it becomes necessary to consider the effect of a potential field, U(x), on the Brownian motion of a particle. For most purposes it is convenient to consider U(x) as a "smoothly" varying function of position. The force experienced by the particle due to this smoothly varying field is -dU/dx which is converted to an net average velocity
<V> = -(1/z)dU/dx = <dx/dt>,
where z is the friction constant for the particle discussed above, after a time tV (Å 0) has passed.
The mean velocity of a particle subjected to the potential field U(x) is subject to random variation due to Brownian motion which can be assumed to linearly add to the mean velocity caused by the field in the absence of inertia and non-linear effects,
dx/dt = -(1/z)dU/dx + g(t)
where g(t) is a Gaussian function identical to V(t) given above, <g(t)> = 0 and <g(t)g(t')> = 2Dd(t-t'). The linear sum of the velocity due to a potential field and that due to Brownian motion is referred to as the Langevin Equation.
Brownian Motion of a Harmonic Oscillator:
A harmonic oscillator has a potential described by a spring constant, "k",
U(x) = kx2/2
Using this potential in the Langevin equation we have,
dx/dt = -kx/z + g(t)
solving for x as a function of time,
![]()
The time correlation function of x(t) is given by,
![]()
Using <g(t)g(t')> = 2Dd(t-t') and D = kT/z,
<x(t)x(0)> = kTexp(-t/t)/kspr
where
t
= z/ksprFor t=>0, <x2> = kT/kspr, as predicted by a Boltzman distribution,
Yequil a exp(-ksprx2/2kT)The mean square displacement after a time "t" is given by,

For t=>0 this yields (2kT/
z)t = 2Dt which is the expected result from the discussion of Brownian motion above.Dynamic Light Scattering
Doi, "Introduction to Polymer Physics" p. 82
K. S. Schmitz. "An Introduction to Dynamic Light Scattering by Macromolecules" p.31
B. Chu, "Laser Light Scattering: Basic Principles and Practice, Second Edition", Academic Press, 1991.
M. Bee, "Quasielastic Neutron Scattering: Principles and Applications in Solid State Chemistry, Biology and Materials Science", 1988.
Dynamic light scattering, as well as dynamic neutron and x-ray scattering (recently), is a main tool to understand and verify models pertaining to the dynamics of polymers in dilute solution. Because it is an analytic technique unfamiliar to the majority of polymer scientists a brief overview is given here.
As mentioned above, the autocorrelation function C(t), or correlation function for position is given by:
C(t) = <x(0) x(t)>
When monochromatic, collimated visible light irradiates matter the state of polarization of the molecules oscillates at the frequency of the irradiating light. This results in an electric field E(t) associated with the position of the molecules at a given time. This oscillating electric field produces light of the same wavelength as the incident light that is irradiated from the molecules essentially in a uniform manner in space. Constructive interference between the emitted light from two molecules or parts of a polymer separated by a vector, r, results in the scattering pattern. The observed intensity is proportional to the square of the resulting electric field associated with the combination of light emanating from the irradiated volume.
A photomultiplier tube of quantum efficiency Qe records the scattered intensity associated with a separation distance R at a fixed angle
q as a function of time t,I(R, t) = Qe Es*(R, t')T . Es(R, t')
where t' is the time of irradiation and emission and t is the time of observation by the PMT (there is an incidental time lag in measurement). "*" indicates the complex conjugate and "T" the transpose (this is how you square a complex vector). The angle
q is usually converted to wavevector, K = 2 sin(q/2)/l, or momentum transfer vector q = 2p k. q is related to size r by r = 2p/q = 1/K.The time average intensity is given by,
<I(R)> = Qe <Es*(R, t')T . Es(R, t')>
Since the electric field vector relies on the presence of scattering matter at position R at time t', it is expected that there is a relationship between C(t) and the intensity correlation function,
<I(0)I(t)> = <I(0)2> + Qe2 <|E*(0)T . E(t)| |E*(t)T . E(0)|>
If the intensity correlation function is normalized by <I(0)2> the autocorrelation function results,
C(t) = <I(0)I(t)>/<I(0)2> = 1 + K g(2)(t)
where g(2)(t) is the square of the normalized autocorrelation function for electric field, g(2)(t) = |g(1)(t)|2.
Dynamic light scattering offers a direct measure of Cv(t).
The dynamic light scattering instrument will require a high power laser, typically an Argon gas laser, a temperature controlled sample cell, a sensitive detector such as a photomultiplier tube, and a time correlator capable of recording intensity (or current from the photomultipler tube) on an extremely short time scale (nanoseconds). The correlator usually calculates the intensity correlation function directly. The DLS instrumentation is well described in B. Chu's book cited above.
Center of Mass Diffusion and DLS:
Application of Fick's second law for diffusion to scattering in K-space results in the following expression for the molecular correlation function for center of mass motion,
G1(K, t) = <(
DC(K, 0))2> exp(-DmK2t)where Dm is the mutual diffusion coefficient and
DC is the concentration change as a function of time and wavevector, K. Normalizing by <(DC(K, 0))2> yields the electric field correlation function, g(1),g(1)(t) = g(1)(K, t) = exp(-DmK2t)
The mutual diffusion coefficient is dependent on the wavevector (scattering angle) since at different size scales, r =
1/K, the mechanisms of diffusion differ. In the limit of K goes to 0, i.e. large size scales, the mutual diffusion coefficient, Dm, is defined by the Stokes-Einstein relationship,Dm = (1/NAfm) (d
p/dc)T,m'where fm is the mutual friction factor, (d
p/dc)T,m' is the osmotic susceptibility. At infinite dilution (dp/dc)T,m' = NAkT, so at infinite dilution (no interactions) and K = 0 (size scales much larger than the particles of interest), Dm = kT/fm, as previously discussed.Center of mass diffusion is the simplest case to describe. Other types of diffusion will effect dynamic scattering depending on the complexity of the material, i.e. internal modes of relaxation, hydrodynamic interactions and interactions between chains such as entanglements. These will be of great importance to the dynamics of polymers.
General Linear Response Theory:
A cursory comparison of dynamic mechanical, creep and stress relaxation measurements would lead one to consider that there is some relationship between these time dependent mechanical observations. We can generically consider that for any force or field (here stress) applied to a sample that leads to a displacement (here strain) some work is performed associated with the displacement, dx, caused by the field,
y. The work per unit volume is given by dW/V = ydx. For example, the area under a stress strain curve yields the work per volume. The derivative in this equation is with respect to time, for instance, (dW(t)/dt)/V = y(t)(dx(t)/dt).In a tensile creep experiment we have dW(t)/V = y(t) dx = s11de11(t) = D(t) s11 ds11. This relationship yields the instantaneous differential work performed in the creep measurement. The total work performed is obtained by integration over time. The response of the material to a force or field is related only to the material so it is possible that a single response function can be obtained that describes the response of the material to any force, or sequence of forces. This function is called the primary response function. The primary response function, m(t), describes the response of a material to an infinitely short pulsed force or field, y(t) = y0 d(t). Such a short pulse, y(t), is mathematically described by the delta function, d(t), times the magnitude of the force or field, y0. The function, d(t), has a value of 1 for a given time and a value of 0 for all other times. The primary response function describes the response, x(t), to this pulsed force or field, x(t) = y0 m(t). You can think of y(t) as the kind of force that is applied when you strike a bell. The response function relates a perturbation to a response just as the simple constitutive equations given above related a perturbation to a response. The advantage of the response function is that it describes the response to a "base-unit" of perturbation, i.e. a delta function, from which any other perturbation can be constructed by integration, as described below.
Strobl elucidates the features of the response function, m(t), by looking as several classic examples of response, figure 5.4 below. A Hookean elastic displays an instantaneous response and an instantaneous relaxation (c), a Newtonian fluid displays and instantaneous response and no relaxation (b). A relaxing system displays an exponential decay (d), which is quite different than the response function for a harmonic oscillator (a). If the peak values for the harmonic oscillator were considered only, there is some similarity between an exponential decay and the harmonic oscillator.

Using the primary resonse function, m(t), any displacement from an arbitrary force can be calculated,
![]()
The latter expression relies on two assumptions:
1) Causality principle, the response is caused by the field or force that the material experienced in the past;
2) Superposition principle, the field or force over time can be described by a sequence of pulses and the response is a summation of the responses to these pulses.
The primary response function and this integral relationship allow all dynamic properties of a material to be related, specifically, one can consider the relationships between creep and stress relaxation measurements and dynamic mechanical measurements.
Relationships Between Different Dynamic Measurements:
Creep Measurement:
Following Strobl, p. 200, consider a creep experiment where a stress, y(t), is applied to a sample at t=0, for t>0; y(t) = y0. The creep, x(t), is given by
![]()
For this constant stress experiment the displacement, x(t) can be directly normalized by the force, y0, to yield the susceptibility, a(t), or the integral of the response function, or the cumulative response function.
![]()
we can also write that the response function is the derivative of the time dependent susceptibility,
![]()
Stress Relaxation Measurment:
In the stress relaxation experiment the strain is fixed, x(t) = x0, while the stress relaxes, y(t),
![]()
It is natural to reduce the stress, y(t), by the fixed strain, x0, to yield a time dependent modulus, a(t) = y(t)/x0. Then,
![]()
Boltzman Superposition Equation:
If the susceptibility is used in the definition of the response function we have,
![]()
The latter expression can be reduced using integration by parts;
![]()
where u = y(t') and dv = (da/dt') dt', so v = a(t') and du = dy(t'), then,
![]()
The latter expression indicates that the integral over all time till now of the change in force times the susceptibility yields the response. This equation indicates that the load on a sample can be broken down into differential steps and the response can be obtained by integration of these steps times the susceptibility of the material to loading.
A similar analysis can be made using the definition of the time dependent modulus, a(t), to describe the corollary of the Boltzman equation for creep,
![]()
The force at time t, y(t), is composed of incremental steps of strain, dx, times the time dependent modulus, a(t).
Dynamic Mechanical Measurements:
In a dynamic mechanical measurement an oscillating force, y(t) = y0 exp iwt = y0 (cos wt + i sin wt), is applied to the sample and the strain response displays a time lag (phase angle difference), d, so the strain is written, x(t) = x0 exp-id exp iwt = x0 exp i(wt - d). Using,
![]()
and substituting the dynamic expressions,
![]()
The dynamic susceptibility, a*(w), can be obtained in analogy to the creep experiment, a*(w) = {x0 exp -id}/y0. The dynamic susceptibility is related to the primary response function, m(t), by,
![]()
the latter equality being due to m = 0 below t=0. Then the complex susceptibility is the Fourier transform of the primary response function, m(t)!
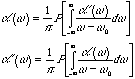
Kramers-Kronig Dispersion Relations:
The dynamic susceptibility is a complex function, a*(w) = a'(w) - i a"(w). The imaginary part, a"(w), reflects the loss (Hookean response for susceptibility); while the real part, a'(w), reflects motion of the material (flow). Each of these parts are related to the primary response function, m(t), that is a real function. This can be easily demonstrated by expansion of the complex exponential,
![]()
Because each of the complex parameters is related to the same real function then it must be possible to describe the two complex susceptibilities in terms of each other! One problem with this description is that the response function, think of this as a viscosity, is not defined when w = 0 or t = °. That is when the strain rate is 0 and the stress is 0 the viscosity is not defined. This is called a singularity at w = 0 for both a'(w) and a"(w) and makes the calculation of a'(w) from a"(w) impossible without a special type of limiting integral called the Cauchy integral. The Cauchy integral is given the symbol P(º()) and is defined by,
![]()
Then the Kramers-Kronig dispersion relations can be written using the Cauchy integral as,

The importance of this development is not so much in calculation of the loss or storage susceptibility but in the fundamental connection it makes between all time dependent mechanical behavior for an anelastic material.
Power Consumption (Rate of Work) in a Dynamic Measurement:
The power consumption, (dW/dt)/V, in a perturbation, y(t), response, x(t) observation is given by,
![]()
For the dynamic mechanical measurement, y(t) = y0 cos wt, i.e. the force is considered real (in phase with itself); x(t) = a' y0 cos wt + a" y0 sin wt; and dx(t)/dt = -wa' y0 sin wt + wa" y0 cos wt. Then the power consumption is given by,
![]()
where the equality sin(x)cos(x) = sin(2x)/2. The second term, associated with a', reflects the energy of oscillation in time of the system in response to the force applied. This term averages to 0 over time. The first term is always positive, cos2(wt), and accumulated over time. This reflects the heat generated by the material through loss.
Dynamic Dielectric Measurements:
In addition to dynamic mechanical measurements, instruments exist for the measurement of the dynamic dielectric properties of polymers. The dielectric constant, e, for a material is defined by the linear constitutive equation, P = e0(e -1) E, where E is an applied electric field (perturbation) and P is the resulting polarization of the material (response). Alternatively, the dielectric displacement, D, can be defined in terms of the applied field, E, D = e0e E. In both cases e0 is the dielectric permiativity of free space. In analogy to a creep experiment, a constant field E0 can be applied to a sample at time t=0 and the Polarization, P(t) measured as a function of time. The response is composed of an instantaneous part and a time lagged part associated with electron rearrangement within bonds and rotation of molecules respectively.
P(t) =e0(eu -1) E0 +e0 De(t) E0
In a dynamic measurement, E(t) = E0 exp iwt, and the response is given by, P(t) = exp i(wt - d). The complex dielectric constant is given by, e*(w) = e'(w) - i e"(w) = e0 + P0 (exp -id)/E0.
We can consider many types of anelastic behaviors in polymeric materials including mechanical and dielectric responses discussed above as well as magnetic, and orientational responses that haven't been discussed. Different techniques are used to observe anelastic behavior depending on the time/frequency scale of interest.